多环芳烃(polycyclicaromatichydrocarbons,PAHs)指两个及以上苯环按照线状、角状或簇状排列的一系列碳氢化合物。其中,含有2~4个苯环的为轻质PAHs,含有4个以上苯环的为重质PAHs。轻质PAHs不稳定,易转化为更稳定、毒性更强的重质PAHs。自然界中已发现的PAHs有10000多种,而含有4~6个苯环的稠环芳烃对人体具有致畸致癌、致突变性等巨大毒性危害。其中苯并[a]芘(benzo[a]pyrene,BaP)是已知致癌性最高的PAHs之一,具有遗传毒性,占全部致癌性PAHs的1%~20%,被国际癌症机构列为1类致癌物。流行病学研究显示,我国关于PAHs的人均日摄入量为3.65μg,其中年轻群体摄入水平显著高于年长者,PAHs高暴露水平对前者产生更高的致癌威胁。美国环境保护署(The United States Environmental Protection Agency,USEPA)将16 种PAHs归纳为重点关注污染物,基本信息如表所示。

16 种PAHs的基本信息
目前,多环芳烃的检测方法主要是高效液相色谱法、超高效液相色谱法、气相色谱质谱法。大气颗粒物组分复杂,干扰多,高效液相色谱法和超高效液相色谱法只能通过保留时间定性,容易出现假阳性;气相色谱质谱法采用质谱作为检测器,抗干扰能力强,具有较高的定性能力,拥有更低检出限具有普遍性及实用性。
1、HACA途径
HACA由Frenklach等于1991年提出,是最经典的反应途径,包括两个不断重复的步骤:首先是碳氢化合物抽氢产生自由基中间体,而后乙炔与之加成,依次反应,不断成长形成不同PAHs。其中,小分子PAHs可以继续生长为大分子PAHs,该机制是PAHs产生的主要途径。

HACA途径产生PAHs的机制
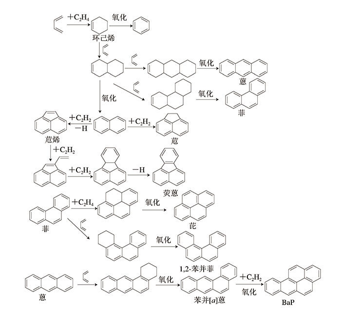
2、Diels-Alder途径
2000年,Siegmann和Sattler在研究甲烷燃烧时,提出 通过Diels-Alder机制的PAHs产生途径。在该机制中,乙烯与双烯体反应,闭环形成环己烯,双烯体再与之继续反应形成2 个及以上的闭环,后者氧化及进一步与乙炔、乙烯和双烯体等加成产生不同种类的PAHs。

Diels-Alder途径
1、急性毒性
PAHs种类很多,急性毒性也各有差异,对不同物种 的毒性也会有差异。有研究提出PAHs对人体的毒性作用与PAHs的苯环数量呈正相关,另外还受暴露途径和时间、浓度和次数以及健康状况和年龄等影响。长期接触高浓度的PAHs混合物容易引起恶心、呕吐、腹泻、皮肤炎症等不适症状,严重的还会造成免疫力下降、肾脏等重要器官受损。
2、遗传毒性
多数PAHs具有遗传毒性、生殖毒性和致畸性。如BaP,是发育毒性物质也是神经毒素。遗传毒性主要由PAHs对DNA造成损伤引起,DNA损伤主要包括:1)DNA单链、双链断裂;2)碱基(嘌呤或嘧啶)缺失;3)鸟嘌呤被氧化为8-羟基或8-氧代-鸟嘌呤;4)形成胸腺嘧啶二聚体;5)形成DNA加合物;6)DNA-DNA或DNA-蛋白质交联。
3、致癌性
流行病学研究发现长期接触PAHs的职业人群容易患癌症,包括皮肤癌、肺癌、胃癌、鼻咽癌和乳腺癌等,其中,肺癌居于癌症发病率和死亡率之首。有研究发现,烟草中含有11种强效致癌的PAHs,其中BaP毒性最大,每支香烟中约有20~40 ng,与60%的肺癌形成密切相关。PAHs的致癌机制大致分为3 步:1)PAHs诱导混合功能氧化酶的基因表达,如细胞色素P450酶(cytochrome P450 proteins,CYP)群;2)在酶(如CYP、脂氧合酶等)的作用下被激活产生其他代谢物,如双醇环氧化物、自由基离子和邻醌等致癌物;3)致癌物与DNA生物大分子靶向结合,导致细胞损伤、功能异常,最终诱发癌症。
4、光致毒效应
PAHs的光致毒性与太阳辐射有关,因含两个或多个共轭苯环,容易吸收太阳光可见(400~800 nm)和紫外(280~400 nm)区的光,转化为比母体毒性更大的分子构型。PAHs光致毒性的主要机制为光敏化,此过程中通常伴随单线态氧的产生,单线态氧是一种对生物分子极具破坏性的活性氧,可引起氧化应激。PAHs光致毒性的另一关键机制是光电化,其一般借助氧化作用形成新化合物。PAHs对紫外辐射引起的光化学反应尤为敏感,有实验表明,同时暴露于PAHs和紫外照射下会加速具有损伤细胞组成能力的自由基及活性氧的形成。活性氧主要与DNA、脂质及膜蛋白等结合,从而导致脂质氧化失衡、膜破裂以及严重损伤DNA,引起人体遗传信息发生突变。研究表明,同时暴露于BaP和紫外光下,会使DNA断裂率加倍,这是对细胞最严重的损害之一。